بالصورة: تفاصيل نص اتفاق غزة كاملة

عرب وعالم 10 تشرين الأول, 2025

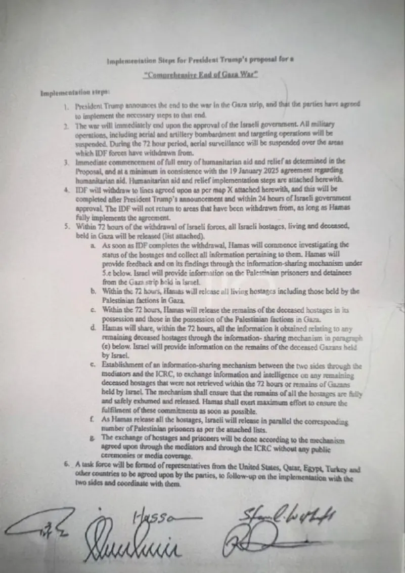
نشرت هيئة البث الإسرائيلية، نص الاتفاق بين إسرائيل وحركة حماس بناء على مقترح الرئيس الأميركي دونالد ترامب لإنهاء الحرب في غزة.

وجاء في الوثيقة التي حملت عنوان “خطوات تنفيذ مقترح الرئيس ترامب بشأن الإنهاء الشامل لحرب غزة”، وشملت توقيع الدول الوسيطة، ما يلي:

1 – يُعلن الرئيس الأميركي دونالد ترامب انتهاء الحرب في غزة، وتوافق الأطراف على تنفيذ الخطوات اللازمة لتحقيق ذلك.

2 – تنتهي الحرب فوراً بعد موافقة الحكومة الإسرائيلية، وتعلق جميع العمليات العسكرية، بما في ذلك القصف الجوي، والمدفعي، وعمليات الاستهداف. وخلال فترة 72 ساعة يتم تعليق المراقبة الجوية فوق المناطق التي انسحب منها الجيش الإسرائيلي.

3 – يبدأ على الفور إدخال المساعدات الإنسانية والإغاثية بشكل كامل كما هو محدد في المقترح، وبحد أدنى بما يتوافق مع اتفاق 19 كانون الثاني 2025 بشأن المساعدات الإنسانية. وتُرفق خطوات تنفيذ المساعدات الإغاثية مع هذا الاتفاق.

4 – تنسحب قوات الجيش الإسرائيلي إلى الخطوط المتفق عليها، وذلك بعد إعلان ترامب وخلال 24 ساعة من موافقة الحكومة الإسرائيلية، ولن تعود القوات الإسرائيلية إلى المناطق التي انسحبت منها طالما أن حماس تنفذ الاتفاق بالكامل.

5 – خلال 72 ساعة من انسحاب القوات الإسرائيلية، يتم الإفراج عن جميع الرهائن الإسرائيليين في غزة، أحياءً وأمواتاً:

أ. فور إتمام الانسحاب، تبدأ حماس بالتحقق في حالة الرهائن وجمع كافة المعلومات المتعلقة بهم، وتقدم نتائجها عبر آلية تبادل المعلومات المشار إليها في الفقرة (هـ) أدناه، وتقدّم إسرائيل معلومات عن الأسرى والمعتقلين الفلسطينيين من غزة المحتجزين لديها.

ب. خلال 72 ساعة، تطلق حماس سراح جميع الرهائن الأحياء، بمن فيهم أولئك المحتجزون لدى الفصائل الفلسطينية في غزة.

ج. خلال 72 ساعة، تسلم حماس جثامين الرهائن المتوفين الذين بحوزتها، وكذلك أولئك الموجودين بحوزة الفصائل الفلسطينية في غزة.

د. تشارك حماس، خلال 72 ساعة، بجميع المعلومات التي حصلت عليها والمتعلقة بأي رهائن متوفين متبقين، عبر آلية تبادل المعلومات الواردة في الفقرة (هـ) أدناه، وتقدم إسرائيل معلومات عن الأسرى والمعتقلين الفلسطينيين من غزة المحتجزين لديها.

ه. إنشاء آلية لتبادل المعلومات بين الطرفين عبر الوسطاء واللجنة الدولية للصليب الأحمر، لتبادل المعلومات والاستخبارات بشأن أي محتجزين متوفين لم تتم إعادتهم خلال 72 ساعة، أو جثامين الأسرى لدى إسرائيل. وتضمن هذه الآلية أن تتم إعادة جميع الجثامين بشكل كامل وآمن، وتبذل حماس أقصى جهد ممكن لضمان تنفيذ هذه الالتزامات بأسرع وقت ممكن.

و. مع إفراج حماس عن جميع المحتجزين، تفرج إسرائيل بالتوازي عن عدد مماثل من الأسرى الفلسطينيين.

ز. يتم تنفيذ عمليات تبادل المحتجزين والأسرى وفقاً للآلية المتفق عليها عبر الوسطاء ومن خلال اللجنة الدولية للصليب الأحمر، ومن دون أي مراسم علنية أو تغطية إعلامية.

6- تشكيل قوة عمل من ممثلين عن الولايات المتحدة، وقطر، ومصر، وتركيا، ودول أخرى يتفق عليها الطرفان، لمتابعة تنفيذ الاتفاق مع الجانبين والتنسيق معهما.

هل تريد/ين الاشتراك في نشرتنا الاخبارية؟

Please wait...

شكرا على الاشتراك!

مواضيع ذات صلة :

انضم الى قناة “هنا لبنان” على يوتيوب الان، أضغط هنا

Contact Us